Icon New game New game

Machten

Map Quiz

(3)
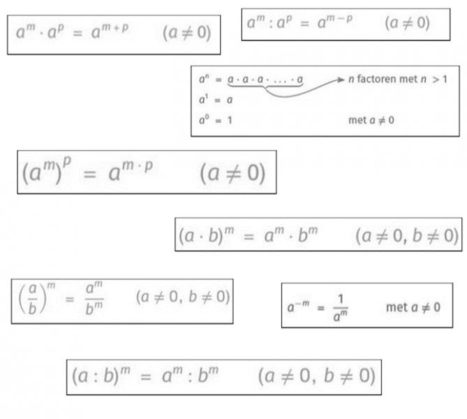
Combineer de definities en de rekenregels met de juiste uitleg.

Download the paper version to play

Recommended age: 13 years old
37 times made

Created by

Belgium

Top 10 results

  1. 1
    00:37
    time
    100
    score
  2. 2
    01:28
    time
    100
    score
  3. 3
    Kurt Cobain fan
    Kurt Cobain fan
    01:31
    time
    75
    score
Do you want to stay in the Top 10 of this game? to identify yourself.
Make your own free game from our game creator
Compete against your friends to see who gets the best score in this game

Top Games

  1. time
    score
  1. time
    score
time
score
time
score
 
game-icon

MachtenOnline version

Combineer de definities en de rekenregels met de juiste uitleg.

by Jolien Vergauwen
1 rekenregel: machten met eenzelfde grondtal vermenigvuldigen 2 rekenregel: machten met eenzelfde grondtal delen 3 definitie macht 4 rekenregel: macht van een macht 5 rekenregel: macht van een product 6 rekenregel: macht van een breuk 7 definitie macht met negatieve exponent 8 rekenregel: macht van een quotiënt