Icon New game New game

Jump and Learn with us

Froggy Jumps

This game is a mathematical game of quadratic equations named “Jump and learn with us”, where the objective is to get the frog to the finish line without sinking by answering quadratic equations.

Download the paper version to play

9 times made

Created by

Mexico

Top 10 results

  1. 1
    00:29
    time
    86
    score
  2. 2
    Valentina V
    Valentina V
    00:38
    time
    43
    score
  3. 3
    09:01
    time
    23
    score
Do you want to stay in the Top 10 of this game? to identify yourself.
Make your own free game from our game creator
Compete against your friends to see who gets the best score in this game

Top Games

  1. time
    score
  1. time
    score
time
score
time
score
 
game-icon

Froggy Jumps

Jump and Learn with usOnline version

This game is a mathematical game of quadratic equations named “Jump and learn with us”, where the objective is to get the frog to the finish line without sinking by answering quadratic equations.

by Paulina Bañales Campos
1

What is a Quadratic Equation ?

2

What is the general form of a quadratic equation?

3

Why can’t a = 0 ?

4

What is an incomplete quadratic equation?

5

6

7

8

9

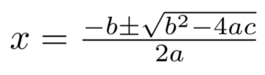
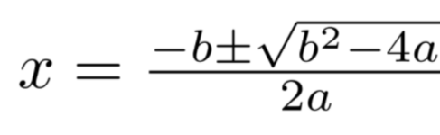
Which is the Quadratic formula?

10

11

12

13

14

15

16

Which one of the following is the formula of discriminant?

17

18

19

Which is the formula to solve an equation by completing the square?

20

21

22

23

24

25

26

27

When a is positive the vertex is minimum?

28

The height of a triangle measures twice it's ase and it has an area of 36sq cm. What are the measure of the triangle?

29

Twice the square of a certain positive number is 144 more than twice the number. What is the number?

30

A picture frame measures 14cm by 22cm and 84sq cm of a picture shows. Find the width of the frame