Icon New game New game

Jugando con Ecuaciones Cuadráticas

Froggy Jumps

(1)
¡Bienvenido! ¿estas listo para jugar con las matemáticas? Si lo estas, Comencemos

Download the paper version to play

24 times made

Created by

Peru

Top 10 results

  1. 1
    00:44
    time
    100
    score
  2. 2
    01:01
    time
    100
    score
  3. 3
    01:23
    time
    100
    score
  4. 4
    00:21
    time
    29
    score
  5. 5
    00:21
    time
    14
    score
Do you want to stay in the Top 10 of this game? to identify yourself.
Make your own free game from our game creator
Compete against your friends to see who gets the best score in this game

Top Games

  1. time
    score
  1. time
    score
time
score
time
score
 
game-icon

Froggy Jumps

Jugando con Ecuaciones CuadráticasOnline version

¡Bienvenido! ¿estas listo para jugar con las matemáticas? Si lo estas, Comencemos

by Elsa Pinchi
1

¿Qué es una ecuación cuadrática?

2

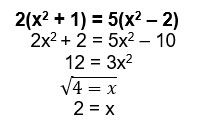
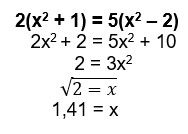
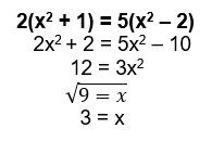
En la siguiente ecuación ¿cuál es el valor de X?

3

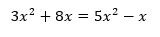
¿Cuál es el resultado de la siguiente ecuación?

4

Resuelve la siguiente ecuación

5

¿Cuál es el procedimiento de la siguiente ecuación?