Icon New game New game

Derivada con regla de la cadena

Froggy Jumps

(3)
Usar la regla de la cadena en sus diferentes formas

Download the paper version to play

Recommended age: 16 years old
1959 times made

Created by

Mexico

Top 10 results

  1. 1
    02:14
    time
    100
    score
  2. 2
    ximena solis
    ximena solis
    02:15
    time
    100
    score
  3. 3
    Hannia
    Hannia
    04:35
    time
    100
    score
  4. 4
    04:36
    time
    100
    score
  5. 5
    Lersa
    Lersa
    05:31
    time
    100
    score
  6. 6
    05:40
    time
    100
    score
  7. 7
    vania paola
    vania paola
    06:11
    time
    100
    score
  8. 8
    06:30
    time
    100
    score
  9. 9
    DiegoE
    DiegoE
    15:25
    time
    100
    score
  10. 10
    Valeria Jimenez
    Valeria Jimenez
    11:24
    time
    95
    score
Do you want to stay in the Top 10 of this game? to identify yourself.
Make your own free game from our game creator
Compete against your friends to see who gets the best score in this game

Top Games

  1. time
    score
  1. time
    score
time
score
time
score
 
game-icon

Froggy Jumps

Derivada con regla de la cadenaOnline version

Usar la regla de la cadena en sus diferentes formas

by Adolfo Rafael Santos León
1

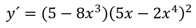
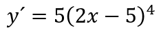
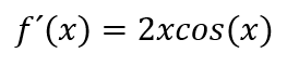
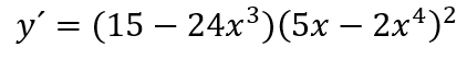
Elige la derivada

2

Elige la derivada

3

Elige la derivada

4

sen(-3x)

5

cos(-1/2x)

6

tan(3x)

7

sen(8x)

8

-4sen(8x)

9

9sen(8x)

10

5sen(8x)

11

sen(13x)

12

2cos(2x)

13

7cos(2x)

14

2cos(1/2x)

15

2cos(-1/2x)

16

Elige la derivada

17

Elige la derivada

18

Elige la derivada

19

12cos(-7x)

20

-12cos(-7x)