Icon New game New game

Linear or Not

Froggy Jumps

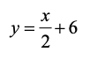
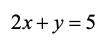
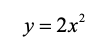
Determine whether each table, graph or equation represents a linear or nonlinear function.

Download the paper version to play

Recommended age: 9 years old
2 times made

Created by

United States

Top 10 results

  1. 1
    00:38
    time
    100
    score
  2. 2
    00:45
    time
    100
    score
Do you want to stay in the Top 10 of this game? to identify yourself.
Make your own free game from our game creator
Compete against your friends to see who gets the best score in this game

Top Games

  1. time
    score
  1. time
    score
time
score
time
score
 
game-icon

Froggy Jumps

Linear or NotOnline version

Determine whether each table, graph or equation represents a linear or nonlinear function.

by Amber White
1

Determine whether each table, graph or equation represents a linear or nonlinear function.

2

Determine whether each table, graph or equation represents a linear or nonlinear function.

3

Determine whether each table, graph or equation represents a linear or nonlinear function.

4

Determine whether each table, graph or equation represents a linear or nonlinear function.

5

Determine whether each table, graph or equation represents a linear or nonlinear function.

6

Determine whether each table, graph or equation represents a linear or nonlinear function.

7

Determine whether each table, graph or equation represents a linear or nonlinear function.

8

Determine whether each table, graph or equation represents a linear or nonlinear function.

9

Determine whether each table, graph or equation represents a linear or nonlinear function.