Icon New game New game

Aminoácidos, péptidos y proteínas

Froggy Jumps

Responde correctamente las siguientes preguntas

Download the paper version to play

17 times made

Created by

Mexico

Top 10 results

  1. 1
    01:44
    time
    100
    score
  2. 2
    02:04
    time
    85
    score
  3. 3
    04:03
    time
    85
    score
  4. 4
    02:54
    time
    80
    score
  5. 5
    03:59
    time
    75
    score
  6. 6
    04:44
    time
    60
    score
  7. 7
    04:19
    time
    45
    score
Do you want to stay in the Top 10 of this game? to identify yourself.
Make your own free game from our game creator
Compete against your friends to see who gets the best score in this game

Top Games

  1. time
    score
  1. time
    score
time
score
time
score
 
game-icon

Froggy Jumps

Aminoácidos, péptidos y proteínasOnline version

Responde correctamente las siguientes preguntas

by Beatriz Eugenia Valencia Ek
1

Son los aminoácidos comúnmente encontrados en las proteínas

2

¿Qué tipo de enlace se forma al unirse dos aminoácidos?

3

¿Los aminoácidos están constituidos por un carbono alfa al cual se unen un grupo funcional amino, uno carboxilo, un hidrógeno y un grupo R o lateral?

4

Todos los aminoácidos existen en forma D y L con excepción de:

5

En las proteínas sólo se encuentran aminoácidos de configuración L

6

El grupo guanidinio está presente en la estructura de:

7

¿En cuántos grupos se clasifican los aminoácidos?

8

¿Qué aminoácido tiene la estructura más simple del grupo R apolar alifático?

9

En relación a los aminoácidos se afirma:

10

El punto isoeléctrico de un aminoácido es el pH al cual el aa tiene carga neta 0

11

En cuanto al ion hibrido o Zwitterion se puede afirmar:

12

Un aa tiene carga positiva a un pH por debajo de su pI y tiene carga negativa a un pH por encima de su pI

13

¿Cómo se les denomina a los aa ionizados?

14

¿Cuál de estos aminoácidos NO tiene la capacidad en su grupo lateral de ionizarse?

15

El glutamato posee unos valores de pk1= 2.19 pk2= 9.67, pkr= 4.45 y pI=3.22 por tanto:

16

Las cadenas laterales de estos aminoácidos también poseen grupos funcionales con carácter ácido o básico:

17

¿Cuántas estructuras se presentan en las proteínas?

18

Las interacciones hidrófobas, interacciones electrostáticas, puentes de Hidrógeno y enlaces covalentes, son interacciones entre cadenas laterales en el plegamiento proteíco

19

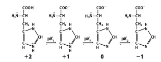
¿Cuál es el pI de la histidina?, si pk1= 1.82, pk2= 9.17, pkr=6.00

20

Indica que la estructura de la proteína se aleja de su forma nativa debido a un importante cambio en su conformación tridimensional