Icon New game New game

UNIDAD 3 - Derivadas

Froggy Jumps

1.-Analizar los tipos de derivadas y comprender el teorema que se aplica.
2.-Entender el concepto de derivada.

Download the paper version to play

65 times made

Created by

Ecuador

Top 10 results

  1. 1
    02:53
    time
    70
    score
  2. 2
    03:08
    time
    50
    score
  3. 3
    01:00
    time
    40
    score
Do you want to stay in the Top 10 of this game? to identify yourself.
Make your own free game from our game creator
Compete against your friends to see who gets the best score in this game

Top Games

  1. time
    score
  1. time
    score
time
score
time
score
 
game-icon

Froggy Jumps

UNIDAD 3 - DerivadasOnline version

1.-Analizar los tipos de derivadas y comprender el teorema que se aplica. 2.-Entender el concepto de derivada.

by Mateo Murillo
1

¿Qué es la derivada de f(x)?

2

La derivada de una constante es:

3

Derivar la siguiente función

4

Derive la siguiente función

5

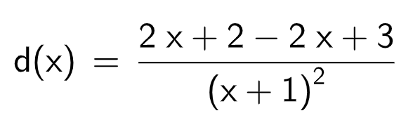
La formula para derivar un cociente es:

6

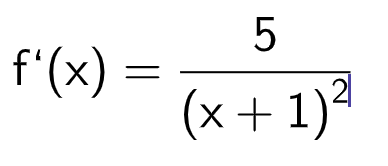
Derive el cociente de esta función

7

La formula para derivar funciones exponenciales es:

8

Derive la siguiente función

9

La formula para derivar el producto es:

10

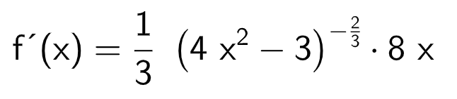
Derivar la siguiente función