Icon New game New game

El campo magnético

Video Quiz

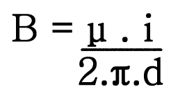
Toda corriente electrica crea un campo magnético a su alrededor.
Explicación y descripción.

Download the paper version to play

Recommended age: 16 years old
6 times made

Created by

Ecuador

Top 10 results

  1. 1
    05:22
    time
    100
    score
Do you want to stay in the Top 10 of this game? to identify yourself.
Make your own free game from our game creator
Compete against your friends to see who gets the best score in this game

Top Games

  1. time
    score
  1. time
    score
time
score
time
score
 
game-icon

El campo magnéticoOnline version

Toda corriente electrica crea un campo magnético a su alrededor. Explicación y descripción.

by karen cherrez
1

Que forma tienen las lineas de campo?

2

Cual es la fórmula de la permeabilidad magnética en el vacío?

3

Para qué se utiliza la regla de la mano derecha?

Respuesta escrita

4

la distancia r va desde