Icon New game New game

Многочлены с несколькими переменными, их виды.

Froggy Jumps

(2)
Уметь определять виды и степень многочлена.

Download the paper version to play

Recommended age: 15 years old
225 times made

Created by

Kazakhstan

Top 10 results

  1. 1
    00:42
    time
    100
    score
  2. 2
    valihanovsandzar
    valihanovsandzar
    01:26
    time
    100
    score
  3. 3
    01:34
    time
    100
    score
  4. 4
    Баймульдина Камаль сдс-23
    Баймульдина Камаль сдс-23
    02:41
    time
    100
    score
  5. 5
    Григорьев Виктор
    Григорьев Виктор
    02:43
    time
    100
    score
  6. 6
    00:40
    time
    90
    score
  7. 7
    Резанов Артём ТЭМ 23 3
    Резанов Артём ТЭМ 23 3
    00:43
    time
    90
    score
  8. 8
    Оспанов мирас МС-23
    Оспанов мирас МС-23
    00:48
    time
    90
    score
  9. 9
    курофеева наталья сдс-23
    курофеева наталья сдс-23
    01:21
    time
    90
    score
  10. 10
    Втюрин Сергей МС-23
    Втюрин Сергей МС-23
    01:39
    time
    90
    score
Do you want to stay in the Top 10 of this game? to identify yourself.
Make your own free game from our game creator
Compete against your friends to see who gets the best score in this game

Top Games

  1. time
    score
  1. time
    score
time
score
time
score
 
game-icon

Froggy Jumps

Многочлены с несколькими переменными, их виды.Online version

Уметь определять виды и степень многочлена.

by Замзагуль Бекмагамбетова
1

Упростите выражение -9у(у-3)+4,5у(2у-4)

2

Вынесите общий множитель за скобки: 3mn-4mp

3

Разложите на множители выражение:

4

Чтобы умножить одночлен на многочлен, надо этот одночлен умножить на каждый член многочлена и полученное произведение .......

5

Какому многочлену равно выражение(х-3)(х+7)?

6

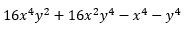
Представьте многочлен в стандартном виде

7

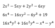
Какие из выражений являются многочленами стандартного вида?

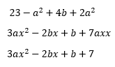
8

Определите степень многочлена 2𝑎4−3𝑎𝑏2+𝑐

9

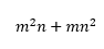
Приведите подобные слагаемые b-13+10b+6b-10b

10

Укажите из данных выражений симметрические