Icon New game New game

Productos notables: Binomio al cuadrado

Memory

(25)
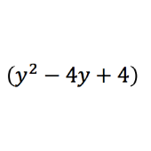
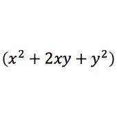
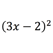
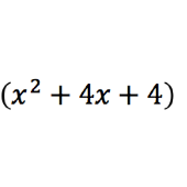
Se presentan diversos binomios al cuadrado y se pide identificar la expresión algebraica correspondiente.

Download the paper version to play

1181 times made

Created by

Mexico

Top 10 results

  1. 1
    00:48
    time
    93
    score
  2. 2
    Perla Lizeth Rangel Alonso
    Perla Lizeth Rangel Alonso
    02:12
    time
    64
    score
  3. 3
    00:45
    time
    55
    score
  4. 4
    00:45
    time
    48
    score
  5. 5
    00:41
    time
    42
    score
  6. 6
    01:23
    time
    42
    score
  7. 7
    01:05
    time
    25
    score
  8. 8
    00:10
    time
    0
    score
  9. 9
    00:14
    time
    0
    score
  10. 10
    00:14
    time
    0
    score
Do you want to stay in the Top 10 of this game? to identify yourself.
Make your own free game from our game creator
Compete against your friends to see who gets the best score in this game

Top Games

  1. time
    score
  1. time
    score
time
score
time
score