Icon New game New game

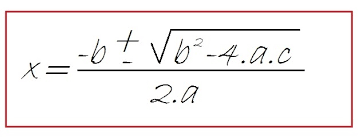
Ecuación de 2 grado

Crossword Puzzle

proyecto

Download the paper version to play

Recommended age: 14 years old
1 times made

Created by

Mexico

Top 10 results

There are still no results for this game. Be the first to stay in the ranking! to identify yourself.
Make your own free game from our game creator
Compete against your friends to see who gets the best score in this game

Top Games

  1. time
    score
  1. time
    score
time
score
time
score
 
game-icon

Crossword Puzzle

Ecuación de 2 gradoOnline version

proyecto

by Jade Mendoza
1

2

3

4

5

Una ecuación de segundo grado

6

cosa] Que compone, junto con otros elementos, un todo

7

8

9

10

11

12

13

6
9
13
11
10
3
1
2
7
12
5
4