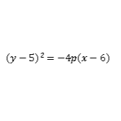
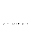
Matching Pairs Relacionar Online version Geometría by Katerine Reyes 1 Es un punto singular por lo general no perteneciente a ella, respecto del cual se mantienen constantes determinadas distancias relacionadas con todos los puntos de la misma. 2 Excentricidad 3 Es la expresión de la recta en función de los segmentos que ésta determina sobre los ejes de coordenadas. 4 La gráfica y los elementos de una parábola son 5 6 La ecuación canónica de la hipérbola con centro en el origen es 7 Elipse 8 Las siguientes coordenadas (5, 6) corresponden a la ecuación de 9 10 Imagen que representa las secciones cónicas. El foco Es una curva cerrada con dos ejes de simetría que resulta al cortar la superficie de un cono por un plano oblicuo al eje de simetría. Ecuación canónica. En una hipérbola al cociente entre la distancia focal y el eje real se le llama Elipse De una ecuación general se obtiene que el Centro es (5, -4) y el radio es (4, 5)