Icon New game New game

MA-301 Funciones

Crossword Puzzle

(4)
“No hay rama de la matemática, por lo abstracta que sea , que no pueda aplicarse algún día a los fenómenos del mundo real”

Lobachevski

Download the paper version to play

Recommended age: 17 years old
25 times made

Created by

Mexico

Top 10 results

  1. 1
    03:12
    time
    100
    score
  2. 2
    03:16
    time
    100
    score
  3. 3
    03:51
    time
    100
    score
  4. 4
    05:01
    time
    100
    score
  5. 5
    06:46
    time
    93
    score
  6. 6
    01:21
    time
    0
    score
Do you want to stay in the Top 10 of this game? to identify yourself.
Make your own free game from our game creator
Compete against your friends to see who gets the best score in this game

Top Games

  1. time
    score
  1. time
    score
time
score
time
score
 
game-icon

Crossword Puzzle

MA-301 Funciones Online version

“No hay rama de la matemática, por lo abstracta que sea , que no pueda aplicarse algún día a los fenómenos del mundo real” Lobachevski

by Alfonso Delgado Serrano
1

2

3

4

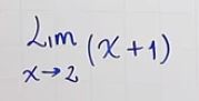
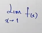
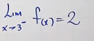
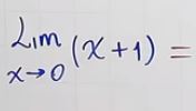
CUAL ES EL VALOR QUE SE ACERCA LAS IMAGENES LAS (Y) CUANDO LOS VALORES DE LAS (X) SE ACERCA AL VALOR X CERO

5

6

7

8

9

10

5
6
1
10
8
4
7
9
3