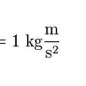
Matching Pairs Leyes de Newton Online version ¡Busca la pareja! y desarrolla tus conocimientos by Dayana Cando 1 UNIDADES DE PESO 2 UNIDADES DE NEWTON 3 4 ANÁLISIS DIMENSIONAL DE LA FUERZA 5 6 ANÁLISIS DIMENSIONAL DE LA ACELERACIÓN 7