Icon New game New game

REFUERZO 1RO BGU

Video Quiz

(76)
Refuerzo académico Primero BGU - UEJM

Download the paper version to play

Recommended age: 15 years old
245 times made

Created by

Ecuador

Top 10 results

  1. 1
    01:40
    time
    100
    score
  2. 2
    01:41
    time
    100
    score
  3. 3
    01:43
    time
    100
    score
  4. 4
    01:52
    time
    100
    score
  5. 5
    01:55
    time
    100
    score
  6. 6
    02:01
    time
    100
    score
  7. 7
    02:04
    time
    100
    score
  8. 8
    02:17
    time
    100
    score
  9. 9
    02:25
    time
    100
    score
  10. 10
    02:27
    time
    100
    score
Do you want to stay in the Top 10 of this game? to identify yourself.
Make your own free game from our game creator
Compete against your friends to see who gets the best score in this game

Top Games

  1. time
    score
  1. time
    score
time
score
time
score
 
game-icon

REFUERZO 1RO BGUOnline version

Refuerzo académico Primero BGU - UEJM

by Christian Mauricio Fernández Anrango 2A
1

MOVIMIENTO CIRCULAR

Selecciona una o varias respuestas

2

Medidas de ángulos

Selecciona una o varias respuestas

3

Velocidad lineal y velocidad angular

Selecciona una o varias respuestas

4

Relación entre la velocidad angular y lineal

5

Periodo en el movimiento circular

Selecciona una o varias respuestas

6

Frecuencia en el movimiento circular

Selecciona una o varias respuestas

7

Relación Periodo, frecuencia y velocidad angular

Selecciona una o varias respuestas

8

Característica del M.C.U

9

Velocidad angular

10

Cuál es el valor de la velocidad angular?

11

Cuál es el valor de la velocidad angular?

12

Cuál formula es correcta para calcular la velocidad angular

13

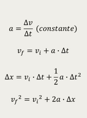
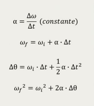
Las ecuaciones para el movimiento circular variado son?

14

Aceleración en el MCUV

Explicación

La longitud de arco Δs=Δθ r es la multiplicación de la variación de la posición angular en radianes por el radio de la circunferencia, en algunos textos usan las letra (d) para representar la distancia del arco de circunferencia así: d=Δθ r

La longitud de arco Δs=Δθ r es la multiplicación de la variación de la posición angular en radianes por el radio de la circunferencia, en algunos textos usan las letra (d) para representar la distancia del arco de circunferencia así: d=Δθ r

La longitud de arco Δs=Δθ r es la multiplicación de la variación de la posición angular en radianes por el radio de la circunferencia, en algunos textos usan las letra (d) para representar la distancia del arco de circunferencia así: d=Δθ r

La longitud de arco Δs=Δθ r es la multiplicación de la variación de la posición angular en radianes por el radio de la circunferencia, en algunos textos usan las letra (d) para representar la distancia del arco de circunferencia así: d=Δθ r

La longitud de arco Δs=Δθ r es la multiplicación de la variación de la posición angular en radianes por el radio de la circunferencia, en algunos textos usan las letra (d) para representar la distancia del arco de circunferencia así: d=Δθ r

La longitud de arco Δs=Δθ r es la multiplicación de la variación de la posición angular en radianes por el radio de la circunferencia, en algunos textos usan las letra (d) para representar la distancia del arco de circunferencia así: d=Δθ r

La longitud de arco Δs=Δθ r es la multiplicación de la variación de la posición angular en radianes por el radio de la circunferencia, en algunos textos usan las letra (d) para representar la distancia del arco de circunferencia así: d=Δθ r

La longitud de arco Δs=Δθ r es la multiplicación de la variación de la posición angular en radianes por el radio de la circunferencia, en algunos textos usan las letra (d) para representar la distancia del arco de circunferencia así: d=Δθ r

La longitud de arco Δs=Δθ r es la multiplicación de la variación de la posición angular en radianes por el radio de la circunferencia, en algunos textos usan las letra (d) para representar la distancia del arco de circunferencia así: d=Δθ r

La longitud de arco Δs=Δθ r es la multiplicación de la variación de la posición angular en radianes por el radio de la circunferencia, en algunos textos usan las letra (d) para representar la distancia del arco de circunferencia así: d=Δθ r

La longitud de arco Δs=Δθ r es la multiplicación de la variación de la posición angular en radianes por el radio de la circunferencia, en algunos textos usan las letra (d) para representar la distancia del arco de circunferencia así: d=Δθ r

La longitud de arco Δs=Δθ r es la multiplicación de la variación de la posición angular en radianes por el radio de la circunferencia, en algunos textos usan las letra (d) para representar la distancia del arco de circunferencia así: d=Δθ r

educaplay suscripción