Icon New game New game

Kikkerspel Merkwaardige producten Goud

Froggy Jumps

(1)
Met dit spel leer je merkwaardige producten heel snel herkennen!

Download the paper version to play

379 times made

Created by

Netherlands

Top 10 results

  1. 1
    00:30
    time
    100
    score
  2. 2
    m
    m
    00:15
    time
    33
    score
  3. 3
    00:05
    time
    0
    score
Do you want to stay in the Top 10 of this game? to identify yourself.
Make your own free game from our game creator
Compete against your friends to see who gets the best score in this game

Top Games

  1. time
    score
  1. time
    score
time
score
time
score
 
game-icon

Froggy Jumps

Kikkerspel Merkwaardige producten GoudOnline version

Met dit spel leer je merkwaardige producten heel snel herkennen!

by Yorick Voskamp
1

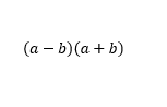
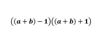
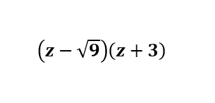
Welk merkwaardig product is dit?

2

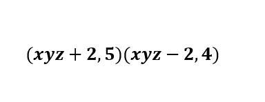
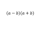
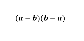
Welk merkwaardig product is dit?

3

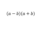
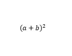
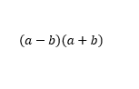
Welk merkwaardig product is dit?

4

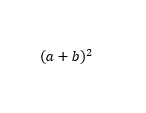
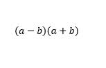
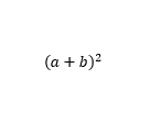
Welk merkwaardig product is dit?

5

Welk merkwaardig product is dit?

6

Welk merkwaardig product is dit?