Icon New game New game

Terugblik 6.4 Rekenen met letters

Froggy Jumps

Herleid. Zet anders kan niet.

Download the paper version to play

65 times made

Created by

Netherlands

Top 10 results

There are still no results for this game. Be the first to stay in the ranking! to identify yourself.
Make your own free game from our game creator
Compete against your friends to see who gets the best score in this game

Top Games

  1. time
    score
  1. time
    score
time
score
time
score
 
game-icon

Froggy Jumps

Terugblik 6.4 Rekenen met lettersOnline version

Herleid. Zet anders kan niet.

by Ashita Ramsaran
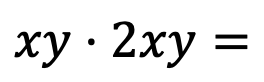
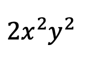
1

Herleid.

2

Herleid.

3

Herleid.

4

Herleid.

5

Herleid.

6

Herleid.