Icon New game New game

omzetten van formules 1

Froggy Jumps

(2)
eenvoudige oefeningen op het omzetten van formules uit de fysica (natuurkunde).

Download the paper version to play

Recommended age: 14 years old
17 times made

Created by

Belgium
Make your own free game from our game creator
Compete against your friends to see who gets the best score in this game

Top Games

  1. time
    score
  1. time
    score
time
score
time
score
 
game-icon

Froggy Jumps

omzetten van formules 1Online version

eenvoudige oefeningen op het omzetten van formules uit de fysica (natuurkunde).

by Brost Nancy
1

Leidt de formule af naar b.

2

Leidt de formule af naar c.

3

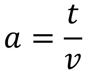
vorm de formule om naar a.

4

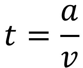
vorm de formule om naar t.

5

Herleid de formule naar m.

6

Herleid de formule naar m.

7

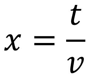
vorm de formule om naar x.

8

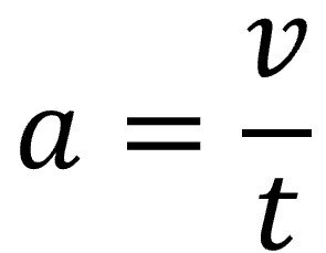
vorm de formule om naar t.

educaplay suscripción