Icon New game New game

omzetten van formules 2

Froggy Jumps

(3)
moeilijkere oefeningen voor het omzetten van formules (ook met macht van 2).

Download the paper version to play

Recommended age: 15 years old
17 times made

Created by

Belgium
Make your own free game from our game creator
Compete against your friends to see who gets the best score in this game

Top Games

  1. time
    score
  1. time
    score
time
score
time
score
 
game-icon

Froggy Jumps

omzetten van formules 2Online version

moeilijkere oefeningen voor het omzetten van formules (ook met macht van 2).

by Brost Nancy
1

Vorm de volgende formule om naar m.

2

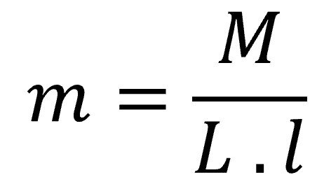
Vorm de volgende formule om naar L

3

herleid de volgende formule naar m

4

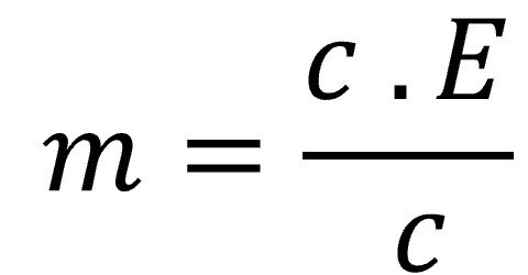
herleid de volgende formule naar c

5

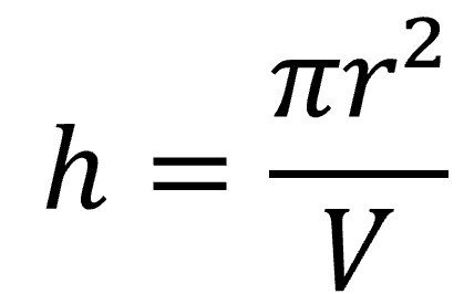
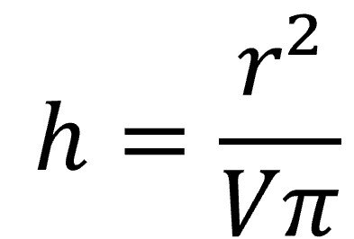
Zet de volgende formule om naar h

6

Zet de volgende formule om naar r

7

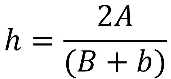
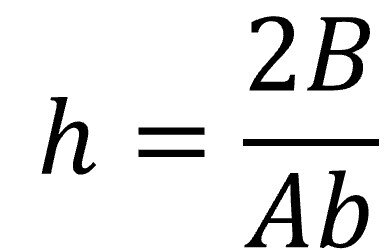
Herleid de volgende formule om naar h

8

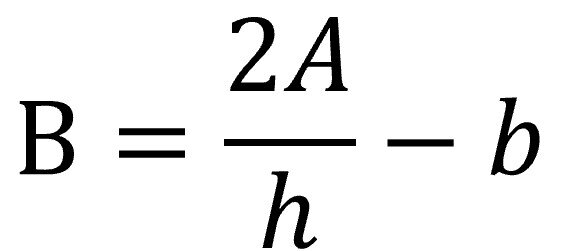
Herleid de volgende formule om naar B

educaplay suscripción