Icon New game New game

Math Quiz

Froggy Jumps

Challenge your math skills

Download the paper version to play

Recommended age: 15 years old
20 times made

Created by

Qatar

Top 10 results

  1. 1
    00:25
    time
    100
    score
  2. 2
    00:30
    time
    14
    score
Do you want to stay in the Top 10 of this game? to identify yourself.
Make your own free game from our game creator
Compete against your friends to see who gets the best score in this game

Top Games

  1. time
    score
  1. time
    score
time
score
time
score
 
game-icon

Froggy Jumps

Math QuizOnline version

Challenge your math skills

by AYAT MOHAMMED MAHMOUD ABDRABOU TAFESH
1

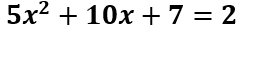
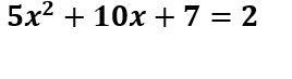
a حدد قيمة

2

b حدد قيمة

3

c ما قيمة

4

اذا كان المميز > صفر

5

اذا كان المميز = صفر

6

اذا كان المميز < 0

7

اقصى عدد لحلول المعادلة التربيعية