Icon New game New game

Determinant & Inverse Matrix Quiz

Froggy Jumps

Done by:
Aqeela Alnassir
Ola AlSaeed
Aseel Alqhatani
Reem AlShehab
Reema altwaijri
Hawra almahfouz

Download the paper version to play

9 times made

Created by

Saudi Arabia

Top 10 results

  1. 1
    Aqeela
    Aqeela
    00:30
    time
    100
    score
  2. 2
    00:31
    time
    88
    score
  3. 3
    علا
    علا
    00:34
    time
    88
    score
  4. 4
    00:05
    time
    0
    score
Do you want to stay in the Top 10 of this game? to identify yourself.
Make your own free game from our game creator
Compete against your friends to see who gets the best score in this game

Top Games

  1. time
    score
  1. time
    score
time
score
time
score
 
game-icon

Froggy Jumps

Determinant & Inverse Matrix QuizOnline version

Done by: Aqeela Alnassir Ola AlSaeed Aseel Alqhatani Reem AlShehab Reema altwaijri Hawra almahfouz

by عقيلة الناصر
1

M12=?

2

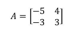
Find the determinant of A

3

Find the inverse of matrix, if one exists

4

C12=?

5

Find the inverse (3×3 matrix using adjoint)

6

This expression is equal to?!

7

It is True or False?

8

It is True or False?