New game
Get Academic Plan

Operasi Vektor Penjumlahan, Pengurangan, Perkalian dalam bentuk Aljabar

Froggy Jumps

(1)
Kelas X_Operasi Vektor dalam Aljabar dan Vektor Satuan

Download the paper version to play

Recommended age: 15 years old
236 times made

Created by

Indonesia

Top 10 results

  1. 1
    01:21
    time
    100
    score
  2. 2
    04:24
    time
    90
    score
  3. 3
    Erina shaista
    Erina shaista
    04:49
    time
    90
    score
  4. 4
    02:44
    time
    80
    score
Do you want to stay in the Top 10 of this game? to identify yourself.
Make your own free game from our game creator
Compete against your friends to see who gets the best score in this game

Top Games

  1. time
    score
  1. time
    score
time
score
time
score
 
game-icon

Froggy Jumps

Operasi Vektor Penjumlahan, Pengurangan, Perkalian dalam bentuk AljabarOnline version

Kelas X_Operasi Vektor dalam Aljabar dan Vektor Satuan

by INGGA ALIFIANTI
1

Diketahui vektor a = ( 3 i + 2 j ) dan vektor b = ( -i + 5 j ). Hasil dari a + b adalah...

2

Jika vektor p = (-5 i + 4 j ) dan vektor q = ( 2 i- 3 j ), maka hasil dari p - q adalah...

3

Diberikan vektor v = ( 4 i- j ). Hasil dari (2v) adalah...

4

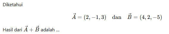
5

6

7

8

9

10