New game
Get Academic Plan

las amidas

Slideshow

este es un objeto virtual en donde vamos a aprender un poco de que son las amidas

Download the paper version to play

Recommended age: 15 years old
51 times made

Created by

Colombia

Top 10 results

  1. 1
    00:10
    time
    100
    score
  2. 2
    00:30
    time
    100
    score
  3. 3
    00:31
    time
    100
    score
Do you want to stay in the Top 10 of this game? to identify yourself.
Make your own free game from our game creator
Compete against your friends to see who gets the best score in this game

Top Games

  1. time
    score
  1. time
    score
time
score
time
score
 
game-icon

las amidas Online version

este es un objeto virtual en donde vamos a aprender un poco de que son las amidas

by Carolina Valencia
1

las amidas

2

las amidas

las amidas 

las amidas son un derivado del grupo funcional de los ácidos carboxilicos, en los que el grupo -OH ha sido sustituido por -NH2, para formar una amida primaria;-NHR, una amida secundaria, o -NRR, amida terciaria . Su formula empírica es RCONR, donde R es la cadena principal de la amida, CO es el grupo carbonilo, y R puede ser un H o un radical que lo sustituye 
3

amidas

¿DONDE PODEMOS ENCONTAR LAS AMIDAS ?

Las amidas son comunes en la naturaleza y se encuentran en sustancias como los aminoácidos, las proteínas, el ADN y el ARN, hormonas y vitaminas.
4

amidas

¿DONDE PODEMOS ENCONTAR LAS AMIDAS ?

Las amidas son comunes en la naturaleza y se encuentran en sustancias como los aminoácidos, las proteínas, el ADN y el ARN, hormonas y vitaminas.
5

amidas

USOS DE LAS AMIDAS 

  •  la comida en productos como el espagueti
  • en la industria farmacéutica en la presentación de anestésicos locales
  • en productos como el setral el cual es un desinfectante en aerosol 
  • en productos de uso común como los desodorantes
  • en productos derivados de los lácteos 
  • las amidas se encuentran incluso en el cuerpo como por ejemplo la urea que es abundante en la orina es cristalina y producto de el proceso metabólico 
6

amidas

NOMENCLATURA (IUPAC)

  • Regla 1. Las amidas se nombran como derivados de ácidos carboxílicos sustituyendo la terminación -oico del ácido por -amida. 
  • Regla 2. Las amidas son grupos prioritarios frente a aminas, alcoholes, cetonas, aldehídos y nitrilos.
  • Regla 3. Las amidas actúan como sustituyentes cuando en la molécula hay grupos prioritarios, en este caso preceden el nombre de la cadena principal y se nombran como carbamoíl.......
  •  Regla 4. Cuando el grupo amida va unido a un ciclo, se nombra el ciclo como cadena principal y se emplea la terminación -carboxamida para nombrar la amida.     
7

amidas

8

amidas

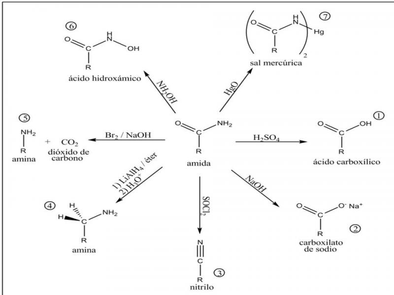
9

amidas

10

amidas

OBTENCION DE LAS AMIDAS

  • Uno de los principales métodos de obtención de estos compuestos consiste en hacer reaccionar el amoniaco (o aminas primarias o secundarias) con ésteres
  • las amidas pueden obtenerse a partir de halogenuros de alquilo por reacción con amoniaco, aminas primarias y secundarias,con lo que resultan amidas primarias,secundarias o terciarias respectivamente ejemplo:
CH3-CO-CL + 2 CH3-NH2     CH3-CO-NH-CH3+CH3-NH3 + CLcloruro de acetilo   metilamina   N-metilacetamida  cloruro de metilamonio
11

amidas