New game
Get Academic Plan

Derivación numérica

Matching Pairs

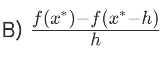
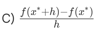
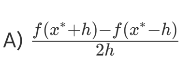
Dependiendo de cómo se ubiquen los puntos s0 y s1 respecto al punto de interés x, la fórmula de derivación numérica recibe un nombre distinto. Reto1: Une cada "Movimiento" con su "Fórmula" correspondiente. Reto2: Debes unir cada concepto con su definición o propiedad clave.

Download the paper version to play

6 times made

Created by

Spain

Top 10 results

  1. 1
    00:27
    time
    100
    score
Do you want to stay in the Top 10 of this game? to identify yourself.
Make your own free game from our game creator
Compete against your friends to see who gets the best score in this game

Top Games

  1. time
    score
  1. time
    score
time
score
time
score
 
game-icon

Matching Pairs

Derivación numéricaOnline version

Dependiendo de cómo se ubiquen los puntos s0 y s1 respecto al punto de interés x, la fórmula de derivación numérica recibe un nombre distinto. Reto1: Une cada "Movimiento" con su "Fórmula" correspondiente. Reto2: Debes unir cada concepto con su definición o propiedad clave.

by Alba Sierra