Icon New game New game

Test Diagnóstico 10 mo

Quiz

(2)
Test de inicio de Año

Download the paper version to play

Recommended age: 14 years old
17 times made

Created by

Ecuador

Top 10 results

  1. 1
    00:18
    time
    100
    score
  2. 2
    00:59
    time
    100
    score
  3. 3
    Jorge Paredes
    Jorge Paredes
    02:02
    time
    100
    score
  4. 4
    Danilo Cabrera
    Danilo Cabrera
    03:58
    time
    100
    score
  5. 5
    30:00
    time
    77
    score
Do you want to stay in the Top 10 of this game? to identify yourself.
Make your own free game from our game creator
Compete against your friends to see who gets the best score in this game

Top Games

  1. time
    score
  1. time
    score
time
score
time
score
 
game-icon

Test Diagnóstico 10 moOnline version

Test de inicio de Año

by Ariel Gualán
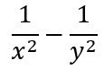
1

Resuelva

2

¿Qué es una función de primer grado?

3

¿Cuál es la ecuación de una función lineal?

4

Cuál de las siguientes gráficas corresponde a una gráfica de una función lineal?

5

Indicar si la resolución del siguiente ejercicio está correcta:

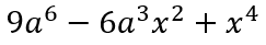
6

Resuelva

7

Las funciones se pueden representar utilizando tabla de valores, fórmula, gráfica y la forma verbal. La representación en la imagen corresponde a una:

8

Los puntos representados en la recta son:

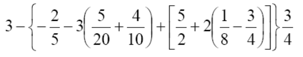
9

Resuelva