Icon New game New game

3"N" Ecuaciones Exponenciales

Quiz

(6)
Resolver ecuaciones exponenciales

Download the paper version to play

Recommended age: 17 years old
60 times made

Created by

Ecuador
This game is a version of

Top 10 results

  1. 1
    00:40
    time
    100
    score
  2. 2
    CISNEROS MISAEL 3RO N
    CISNEROS MISAEL 3RO N
    01:35
    time
    100
    score
  3. 3
    KAREN CONDOR
    KAREN CONDOR
    03:26
    time
    100
    score
  4. 4
    Núñez Dayanara
    Núñez Dayanara
    03:36
    time
    100
    score
  5. 5
    Guanoluisa Kerly
    Guanoluisa Kerly
    04:22
    time
    100
    score
  6. 6
    Cajamarca Jeamileth 3° BGU "N"
    Cajamarca Jeamileth 3° BGU "N"
    04:26
    time
    100
    score
  7. 7
    KARLA JUIÑA
    KARLA JUIÑA
    06:02
    time
    100
    score
  8. 8
    06:19
    time
    100
    score
  9. 9
    06:34
    time
    100
    score
  10. 10
    06:55
    time
    100
    score
Do you want to stay in the Top 10 of this game? to identify yourself.
Make your own free game from our game creator
Compete against your friends to see who gets the best score in this game

Top Games

  1. time
    score
  1. time
    score
time
score
time
score
 
game-icon

3"N" Ecuaciones Exponenciales Online version

Resolver ecuaciones exponenciales

by JOSE LUIS ROMAN CHINGAL
1

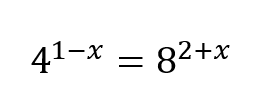
Resolver la siguiente ecuación exponencial

2

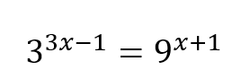
Resolver la siguiente ecuación exponencial

3

Resolver la siguiente ecuación exponencial

4

Resolver la siguiente ecuación exponencial

5

Resolver la siguiente ecuación exponencial

6

Resolver la siguiente ecuación exponencial

7

Resolver la siguiente ecuación exponencial

8

Resolver la siguiente ecuación exponencial

9

Resolver la siguiente ecuación exponencial

10

Resolver la siguiente ecuación exponencial

Explicación

Aplicar las propiedades de los exponentes

Aplicar las propiedades de los exponentes

Aplicar las propiedades de los exponentes

Aplicar las propiedades de los exponentes

Aplicar las propiedades de los exponentes

Aplicar las propiedades de los exponentes

Aplicar las propiedades de los exponentes

Aplicar las propiedades de los exponentes

Aplicar las propiedades de los exponentes

Aplicar las propiedades de los exponentes