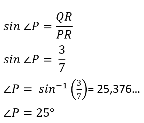
GoniometrieOnline version Beantwoord de vragen by Michel Huurman 1 Waarom kan de hellingshoek niet berekend worden met de tangens? Klik op het plaatje om deze te vergroten. Kies één of meerdere antwoorden a De aanliggende rechthoekzijde ontbreekt b Er is geen scherpe hoek gegeven. c Dat kan wel, want ik weet twee zijden. Eerst BC berekenen met het werkschema van pythagoras. Dan de hellingshoek berekenen met de tangens. d De overstaande rechthoekzijde ontbreekt e De schuine zijde ontbreekt. 2 Bereken de zijde BC in meters. Rond af op 1 decimaal. Klik op het plaatje om deze te vergroten. a 63,04 m b 63 m c 63,0 m d 6304 cm 3 BC is 63 m. Met welke goniometrische verhouding kun je ∠A berekenen? Klik op het plaatje om deze te vergroten. Geschreven antwoord 4 Welke methode pas je toe, voor het berekenen van zijde DE. Klik op het plaatje om deze te vergroten. a De stelling van pythagoras b De drie hoeken in een driehoek zijn tezamen 180 graden c SOSCASTO, met SOS d SOSCASTO, met CAS e SOSCATOA, met TOA 5 Geef de formule voor het bereken van DE. Klik op het plaatje om deze te vergroten. a b c d 6 Bereken DE en rond af op 1 decimaal. Klik op het plaatje om deze te vergroten. a b c d 7 In een rechthoekige driehoek is één scherpe hoek 23°, hoe groot is de andere scherpe hoek? a 23° b 90° c 180° d 67° 8 Welke methode pas je toe, voor het berekenen van ∠P? Klik op het plaatje om deze te vergroten. a De stelling van pythagoras b De drie hoeken in een driehoek zijn tezamen 180 graden c SOSCASTO, met SOS d SOSCASTO, met CAS e SOSCATOA, met TOA 9 Geef de formule voor het bereken van ∠P. Klik op het plaatje om deze te vergroten. a b c d 10 Bereken ∠P. Klik op het plaatje om deze te vergroten. a b c d Uitleg 1 Voor het toepassen van de Tangens, dus TOA. is de overstaande rechthoekzijde niet gegeven. Dit kan je oplossen door eerste gebruik te maken van het werkschema van pythagoras om BC te bereken. 2 Gebruik het werkschema van pythagoras. 400^2 -395^2= 3975, dan wortel uit 3975= 63,047.... Afronden 1 decimaal. Dus BC is 63,0 meter 3 Aangezien alle zijdes bekend zijn, kan je gebruik maken van sin, cos of tan. 4 Zijde gevraagd en gegeven is een zijde en een scherpe hoek. Kijk eerst SOSCASTOA. A is bekend en S wordt gevraagd. AS, wordt CAS. 5 In de vorige opgaven hadden we gezien dat we CAS moesten toepassen. Formule cos ∠= A/S. A = FE=13, deze rhz ligt aan ∠E=23° en S=DE ligt tegenover de rechtehoek ∠F 6 In de vorige opgaven hebben we gezien dat we CAS moesten toepassen. Formule cos ∠= A/S. A = FE=13, deze rhz ligt aan ∠E=23° en S=DE ligt tegenover de rechtehoek ∠F. bij het berekenen van een zijde gebruiken we de cos toets op de rekenmachine 7 Gebruik dan dat de drie hoeken van een driehoek samen 180° zijn. Gegegeven is een rechthoekige driehoek en één scherpe hoek 23°. Dus andere scherpe hoek = 180°-90°-23°=67° 8 Hoek gevraagd en gegeven zijn twee zijden. Kijk eerst SOSCASTOA. O en S zijn bekend, dus SOS. 9 Hoek gevraagd en gegeven zijn twee zijden. Kijk eerst SOSCASTOA. O en S ten opzichte van ∠P zijn bekend, dus SOS. Dus gebruik maken van sinus en bij berekenen van de ∠P op de rekenmachine de toets sin -1 10 Hoek gevraagd en gegeven zijn twee zijden. Kijk eerst SOSCASTOA. O en S ten opzichte van ∠P zijn bekend, dus SOS. Dus gebruik maken van sinus en bij berekenen van de graden van ∠P gebruiken we sin -1 op de rekenmachine