Icon New game New game

test comunicaciones analogicas

Quiz

cuestionario de conceptos y gráficas acerca de las comunicaciones analógicas.

Download the paper version to play

Recommended age: 18 years old
0 times made

Created by

Mexico

Top 10 results

There are still no results for this game. Be the first to stay in the ranking! to identify yourself.
Make your own free game from our game creator
Compete against your friends to see who gets the best score in this game

Top Games

  1. time
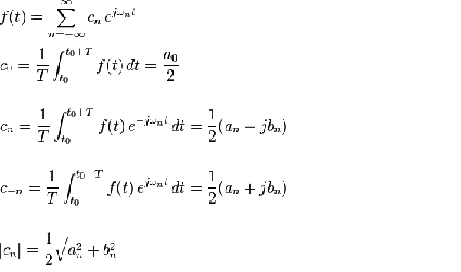
    score
  1. time
    score
time
score
time
score
 
game-icon

test comunicaciones analogicasOnline version

cuestionario de conceptos y gráficas acerca de las comunicaciones analógicas.

by Armando Vargas
1

1. ¿Qué es un sistema de comunicación?

Respuesta escrita

2

2. Mencione los procesos de comunicación.

Respuesta escrita

3

3. Diagrama de un sistema de comunicación.

4

4. ¿Qué es el ruido en un sistema de comunicación?

Respuesta escrita

5

5. ¿Qué es una señal?

Respuesta escrita

6

6. Representación de una señal senoidal en F(t)

Respuesta escrita

7

7. Describa la ecuación de la señal senoidal.

Respuesta escrita

8

8. ¿Cómo se clasifican las señales?

Respuesta escrita

9

9. Grafique las señales periódicas y aperiódicas.

Escoge una o varias respuestas

10

10. Diagrama de bloques de un sistema de comunicación digital.

Escoge una o varias respuestas

11

11. Ilustre una probabilidad de un evento conjunto.

Escoge una o varias respuestas

12

12. Representar la media de la función anterior.

Respuesta escrita

13

13. Grafique la densidad espectral de una onda binaria aleatoria.

Escoge una o varias respuestas

14

14. Grafique un proceso gaussiano

Escoge una o varias respuestas

15

15. Exprese la forma exponencial de Fourier.

Escoge una o varias respuestas

16

16. Exprese la forma compleja de Fourier.

Escoge una o varias respuestas

17

17. Exprese la transformada de Fourier.

18

18. Grafique la siguiente función.

Escoge una o varias respuestas

19

19. Realice una señal cuadrada a partir de señales senoidales y muestre la gráfica.

Escoge una o varias respuestas

20

20. Genere una señal triangular y muestre la gráfica.

Escoge una o varias respuestas

21

21. Grafique una señal diente de sierra

Escoge una o varias respuestas

22

22. Grafique una señal senoidal rectificada.

Escoge una o varias respuestas

23

23. Que es la modulación

Respuesta escrita

24

24. Menciona los tipos de modulación.

Respuesta escrita

25

25. Tipos de modulación analógica.

Respuesta escrita

26

26. Tipos de modulación digital.

Respuesta escrita

27

27. Explique la modulación en AM.

Respuesta escrita

28

28. Explique la modulación en FM.

Respuesta escrita

29

29. Grafique una señal modulada en AM.

Escoge una o varias respuestas

30

30. Grafique una señal modulada en FM.

Escoge una o varias respuestas