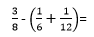
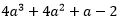
GUÍA DE PENSAMIENTO NUMÉRICOOnline version Resuelve los siguientes ejercicios by Diana Rico Castillo 1 ¿Cuál es el resultado de la operación? a a b b c c d d 2 Un médico receta a un paciente tomar una pastilla cada 6 horas y un jarabe cada 8 horas. Si inicia el tratamiento tomándose la pastilla y el jarabe a la misma hora ¿Después de cuantas horas volverá a tomarse ambos medicamentos? a a) 34 horas b b) 24 horas c c) 15 horas d d) 14 horas. 3 ¿Cuál es el resultado de la operación? a a) b b) c c) d d) 4 ¿Cuál es el resultado de la operación? a a) b b) c c) d d) 5 Un águila puede volar hasta 299 metros de la tierra, mientras que un fósil puede descomponerse a 29 metros debajo de la tierra. ¿Cuál es la distancia que hay entre el fósil y el águila “en pleno vuelo”? a a) 270 metros b b) 328 metros c c) 10.3 metros d d) 8671 metros 6 Simplifica a a) b b) c c) d d) 7 ¿Cuál es el resultado de la operación? a a) b b) c c) d d) 8 ¿Cuál es el resultado de la operación? a a) b b) c c) d d) 9 ¿Cuál es el resultado de la operación? a a) b b) c c) d d) 10 ¿Cuál es el resultado de la operación? a a) b b) c c) d d) 11 ¿Cuál es el resultado de la operación? a a) b b) c c) d d) 12 Desarrolla el siguiente Binomio conjugado a a) b b) c c) d d) 13 ¿Cuál es el resultado de la operación? a a) b b) c c) d d) 14 ¿Cuál es el resultado de la operación? a a) b b) c c) d d) 15 Una empresa construye estructuras p*-rediseñadas para casas y edificios. Si x representa el número de estructuras y los costos de producción son: x^2+12x-1200 para las casas y para los edificios 3x^2+x+2000 ¿Cuál es el costo total de producción de la compañía? a a) b b) c c) d d) 16 El largo de un terreno en metros lo determina la expresión (2a^2+3a+2) y su ancho está representado por (2a-1) ¿Cuál es la superficie del terreno en metros cuadrados? a a) b b) c c) d d) 17 Desarrolla el Binomio a a) b b) c c) d d) 18 Obtén la factorización de la expresión a a) b b) c c) d d) 19 Factoriza por agrupación la expresión. a a) b b) c c) d d) 20 Factoriza la expresión a a) b b) c c) d d) 21 Factoriza el siguiente trinomio a a) b b) c c) d d) 22 Factorizar a a) b b) c c) d d) 23 Realiza la operación a a) b b) c c) d d) 24 Enrique vende 1/4 de terreno a de su finca, alquila 1/6 y lo restante lo cultiva. ¿Qué porción de la finca siembra? a a) b b) c c) d d) 25 ¿Cuál es el resultado de la operación? a a) b b) c c) d d) 26 Realiza la diferencia de cuadrados a a) b b) c c) d d) 27 ¿Cuál es el resultado de la operación? a a) b b) c c) d d) 28 ¿Cuál es el resultado de la operación? a a) b b) c c) d d) 29 Desarrolla el Binomio a a) b b) c c) d d) 30 Desarrolla la operación a a) b b) c c) d d) 31 ¿Cuál es el resultado de la operación? a a) b b) c c) d d) 32 ¿Cuál es el resultado de la operación? a a) b b) c c) d d) 33 ¿Cuál es el resultado de la operación? a a) b b) c c) d d) 34 ¿Cuál es el resultado de la operación? 8+2+4-9-10-6-7-2-1-12= a a) -44 b b) -33 c c) 30 d d) 44 35 ¿Cuál es el resultado de la operación? a a) b b) c c) d d) 36 Una familia de 6 personas asiste a un restaurante de comida rápida que en todos sus paquetes tienen descuentos, el padre y la madre compran cada uno paquetes de $100, los cuales tienen un descuento de $20 cada uno. Los niños piden cada uno paquetes de $75, con un descuento de $15 por paquete. ¿Cuánto es lo que pagan por todos los paquetes? a a) $ 170 b b) $ 400 c c) $ 360 d d) $ 340