Icon New game New game

Derivada (D)

Quiz

(7)
En base a lo aprendido en el curso de Cálculo diferencial, encuentra la derivada de las siguientes funciones.

Download the paper version to play

Recommended age: 16 years old
38 times made

Created by

Mexico
This game is a version of

Top 10 results

  1. 1
    Yohanna S.
    Yohanna S.
    14:09
    time
    100
    score
  2. 2
    Natalia Guzmán González de Aragón
    Natalia Guzmán González de Aragón
    01:21
    time
    50
    score
  3. 3
    Jorge
    Jorge
    10:26
    time
    20
    score
Do you want to stay in the Top 10 of this game? to identify yourself.
Make your own free game from our game creator
Compete against your friends to see who gets the best score in this game

Top Games

  1. time
    score
  1. time
    score
time
score
time
score
 
game-icon

Derivada (D)Online version

En base a lo aprendido en el curso de Cálculo diferencial, encuentra la derivada de las siguientes funciones.

by Enrique Hernandez
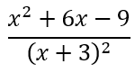
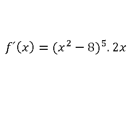
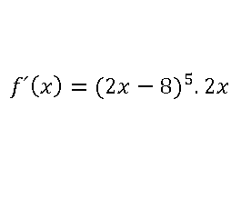
1

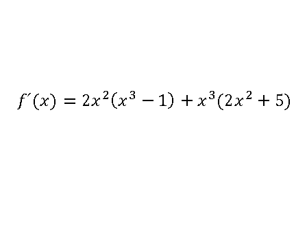
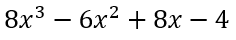
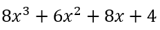
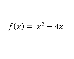
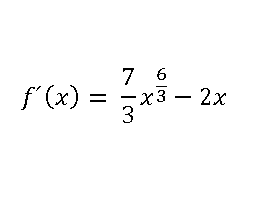
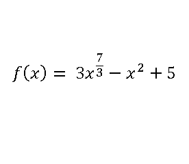
Encuentra la derivada de la siguiente función

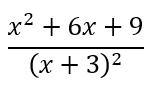
2

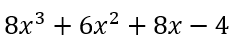
Encuentra la derivada de la siguiente función

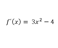
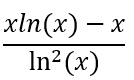
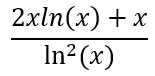
3

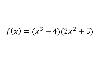
Encuentra la derivada de la siguiente función

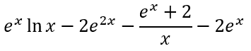
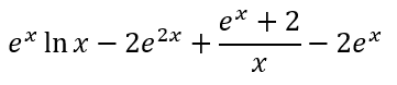
4

Encuentra la derivada de la siguiente función

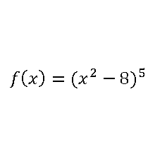
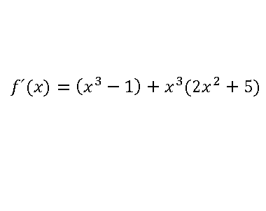
5

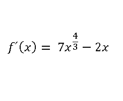
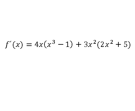
La derivada de:

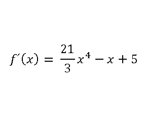
6

La derivada

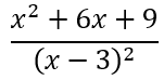
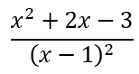
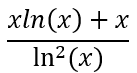
7

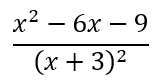
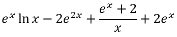
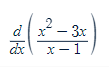
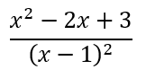
La derivada del cociente

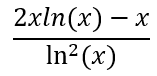
8

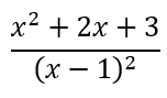
La derivada del cociente

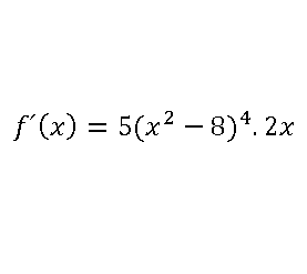
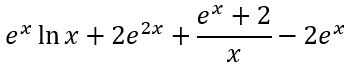
9

La derivada de

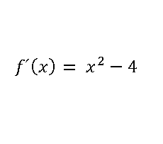
10

La derivada