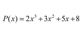
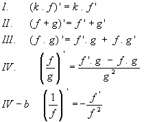
Derivadas HOnline version Comprenderemos conceptos básicos de las derivadas by JAIDER BRAYAN OVEJERO SEGUA 1 ¿Quien fue uno de los principales precursores de las derivadas? a Arquímedes b Leibniz c Descartes d Max born 2 ¿Cuál es la definición de derivada? a Es la función seno b Es una curva en un punto dado c Es la pendiente de la recta tangente d Es el resultado de un límite 3 A finales de que siglo se sintetizaron los métodos y conceptos de las derivadas a Siglo XIX b Siglo XX c Siglo XVI d Siglo XVII 4 ¿En qué año Leibniz descubrió y comenzó a desarrollar el cálculo diferencial? a 1789 b 1810 c 1675 d 1674 5 ¿Cuál de las siguientes respuestas es una propiedad de las derivadas? a La derivada de una constante siempre es 1 b La derivada de un polinomio siempre es 0 c La derivada de una suma es igual a la suma de las derivadas d La derivada de una suma es igual a la resta de las derivadas 6 Aparte de Leibniz hubieron más personajes que ayudaron al desarrollo del cálculo diferencial,pero uno de ellos es el más representativo junto a Leibniz.¿Quien es? a Johannes Kepler b Isaac Barrow c Isaac Newton d Bonaventura Cavalieri 7 ¿Qué es un polinomio? a Son cálculos de suma y resta b Es la unión de dos o más variables y constantes ,que son vinculadas a través de operaciones c Es una expresión trigonométrica d Es la división de dos o más monomios 8 ¿En qué época comenzaron a plantearse los problemas típicos que dieron origen al cálculo infinitesimal? a Antigua b Contemporánea c Moderna d clásica 9 ¿Cuál fue uno de los problemas que se plantearon sobre las derivadas en esa época? a Símbolos y funciones de las derivadas b El problema de las funciones seno y coseno c La tangente a una curva dada d Variable independiente 10 ¿Cómo es la gráfica de la recta tangente? a Lineal b Una parábola c Una curva d Constante Explicación 3 http://todosobreladerivada.blogspot.com.co/p/historia-de-la-derivada.html 4 http://todosobreladerivada.blogspot.com.co/p/historia-de-la-derivada.html 8 https://es.wikipedia.org/wiki/Derivada 9 https://es.wikipedia.org/wiki/Derivada