Icon New game New game

Integrales Definidas

Quiz

(4)
Integrales Definidas

Download the paper version to play

Recommended age: 17 years old
36 times made

Created by

Mexico

Top 10 results

  1. 1
    01:42
    time
    80
    score
  2. 2
    00:26
    time
    40
    score
  3. 3
    01:14
    time
    40
    score
  4. 4
    00:47
    time
    20
    score
  5. 5
    01:03
    time
    20
    score
  6. 6
    01:05
    time
    20
    score
  7. 7
    01:37
    time
    20
    score
  8. 8
    00:19
    time
    0
    score
  9. 9
    00:32
    time
    0
    score
Do you want to stay in the Top 10 of this game? to identify yourself.
Make your own free game from our game creator
Compete against your friends to see who gets the best score in this game

Top Games

  1. time
    score
  1. time
    score
time
score
time
score
 
game-icon

Integrales DefinidasOnline version

Integrales Definidas

by Erendira Avilés Rabanales
1

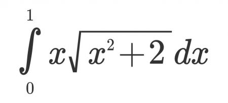
Resuelve la Integral definida

2

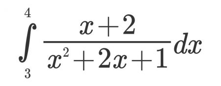
Resuelve la Integral definida

3

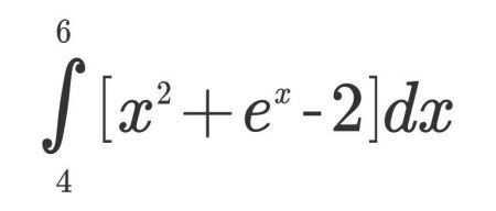
Resuelve la Integral definida

4

Resuelve la Integral definida

5

Resuelve la Integral definida