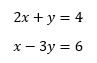
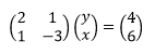
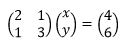
Asesmen Awal - Refleksi (Pencerminan)Online version Yuk, kita refresh ingatan mengenai Refleksi atau Pencerminan~ by Tresna Nur'aviandini 1 Dalam matematika, refleksi atau pencerminan adalah... a Operasi yang memutar titik-titik dalam suatu bidang b Proses yang mengubah ukuran objek dalam suatu bidang menjadi lebih besar atau lebih kecil c Memantulkan suatu objek dalam suatu bidang terhadap garis atau titik tertentu d Menggeser titik-titik dalam suatu bidang 2 Yang merupakan contoh refleksi/pencerminan dalam kehidupan sehari-hari ialah... a Melihat pantulan objek di genangan air b Mendengarkan suara di radio c Melihat gambar di layar komputer d Membaca buku di perpustakaan 3 Hasil refleksi yang benar adalah... a b c d 4 Jika sebuah lingkaran berdiameter AB = 4 cm dicerminkan terhadap sumbu y, maka hasil pencerminannya adalah... a hilang b lingkaran berdiameter A'B' = 4 cm dengan posisinya berubah/berlawanan c lingkaran berdiameter A'B' = 8 cm d lingkaran berdiameter A'B' =2 cm 5 Yang bukan merupakan karakteristik refleksi/pencerminan adalah... a Posisi objek semula sama dengan posisi bayangannya b Objek semula dengan bayangannya simetris terhadap cermin c Hasil bayangan tidak mengalami perubahan bentuk dan ukuran d Jarak objek semula dengan cermin = jarak bayangannya dengan cermin 6 Jika ditulis dalam bentuk persamaan matriks menjadi... a b c d 7 Berikut ini adalah segitiga ABCD dalam sistem Cartesius. Koordinat titik A dan C berturut-turut adalah.. a tidak dapat diketahui b (4,3) dan (-4,-1) c (2,-4) dan (-3,3) d (-4,2) dan (3,-3) 8 Titik K(2,3) dicerminkan terhadap sumbu x, maka hasil pencerminannya adalah... a K'(-2,3) b K'(2,-3) c K'(-2,-3) d K'(3,2) 9 Segitiga PQR dengan P(1,-2), Q(-3,5), dan R(1,5) direfleksikan terhadap sumbu y akan menghasilkan bayangan segitiga P'Q'R'. Koordinat titik Q' adalah... a (5,-3) b (3,-5) c (-5,3) d (3,5) 10 Azmya yang tinggi semampai 170 cm sedang bercermin untuk melihat apakah hijab hitamnya sudah rapi atau belum. Ia agak cemberut karena melihat adanya jerawat yang meradang di hidungnya. Kemudian ia akan memasangkan bros bunga di dada kirinya. Maka, ada yang terjadi pada bayangan Azmya di cermin? a Hijabnya Azmya menjadi warna abu-abu b Tinggi Azmya menjadi 150 cm c Bros bunga berada di dada kanan Azmya d Azmya di cermin tersenyum manis