Icon New game New game

Exercícios de matemática

Quiz

Exercícios de equações.

Download the paper version to play

Recommended age: 11 years old
3 times made

Created by

Portugal

Top 10 results

  1. 1
    00:53
    time
    75
    score
  2. 2
    08:03
    time
    75
    score
Do you want to stay in the Top 10 of this game? to identify yourself.
Make your own free game from our game creator
Compete against your friends to see who gets the best score in this game

Top Games

  1. time
    score
  1. time
    score
time
score
time
score
 
game-icon

Exercícios de matemáticaOnline version

Exercícios de equações.

by Idalina Abreu
1

O José pensou num número adicionou-lhe 5 e obteve 20. Em que número pensou o José?

2

Qual é o resultado da seguinte equação 3x-3=5+x

3

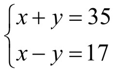
Qual é o valor de x e de y?

4

qual o valor de X e de Y?