Icon New game New game

Sistema de Ecuaciones Lineales

Quiz

(1)
Este es un test diseñado para probar los conocimientos dados por la presentación anterior e incluso de sus estudios educativos

Download the paper version to play

Recommended age: 13 years old
42 times made

Created by

Colombia

Top 10 results

  1. 1
    00:28
    time
    80
    score
  2. 2
    00:23
    time
    0
    score
Do you want to stay in the Top 10 of this game? to identify yourself.
Make your own free game from our game creator
Compete against your friends to see who gets the best score in this game

Top Games

  1. time
    score
  1. time
    score
time
score
time
score
 
game-icon

Sistema de Ecuaciones LinealesOnline version

Este es un test diseñado para probar los conocimientos dados por la presentación anterior e incluso de sus estudios educativos

by JUAN PABLO BOLIVAR GONGORA
1

Hallar los valores de x e y de las ecuaciones mostradas

2

Hallar los valores de x e y de las ecuaciones mostradas

3

Hallar los valores de x e y de las ecuaciones mostradas

4

Hallar los valores de x e y de las ecuaciones mostradas

5

Hallar los valores de x e y de las ecuaciones mostradas

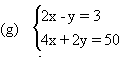
6

Resolver el problema de aplicación planteado: