Icon New game New game

Propiedades de Potencias

Quiz

Reconocer la aplicación de las propiedades de las potencias en cada ejercicio

Download the paper version to play

Recommended age: 12 years old
41 times made

Created by

Chile

Top 10 results

  1. 1
    00:09
    time
    100
    score
  2. 2
    00:36
    time
    100
    score
  3. 3
    00:36
    time
    100
    score
  4. 4
    00:51
    time
    100
    score
  5. 5
    01:08
    time
    100
    score
  6. 6
    01:41
    time
    100
    score
  7. 7
    02:06
    time
    100
    score
  8. 8
    00:59
    time
    80
    score
  9. 9
    00:45
    time
    60
    score
  10. 10
    01:23
    time
    60
    score
Do you want to stay in the Top 10 of this game? to identify yourself.
Make your own free game from our game creator
Compete against your friends to see who gets the best score in this game

Top Games

  1. time
    score
  1. time
    score
time
score
time
score
 
game-icon

Propiedades de PotenciasOnline version

Reconocer la aplicación de las propiedades de las potencias en cada ejercicio

by caroline salazar
1

Todo número distinto de cero elevado a cero es igual a:

2

"Si un número no se multiplica por si mismo, es decir, se coloca una sola vez"... La frase anterior se puede representar como:

3

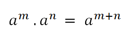
"Al multiplicar dos potencias de la misma base se coloca la misma base y se suman los exponentes" esta frase se representa como:

4

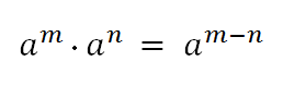
¿Cómo se opera la división de potencias de igual base?

5

En las potencias sobre potencias, ¿Qué sucede con los exponentes?