Icon New game New game

Alcoholes y oxidación

Quiz

(2)
Contesta las siguientes preguntas para que puedas relacionarlas con la oxidación de los alcoholes

Download the paper version to play

Recommended age: 14 years old
771 times made

Created by

Colombia

Top 10 results

  1. 1
    Henry Hernández Campos
    Henry Hernández Campos
    00:06
    time
    100
    score
  2. 2
    00:09
    time
    100
    score
  3. 3
    Henry Hernández Campos
    Henry Hernández Campos
    00:10
    time
    100
    score
  4. 4
    00:13
    time
    100
    score
  5. 5
    00:16
    time
    100
    score
  6. 6
    Felipe Ramírez
    Felipe Ramírez
    00:18
    time
    100
    score
  7. 7
    Emily Zamora B
    Emily Zamora B
    00:22
    time
    100
    score
  8. 8
    00:25
    time
    100
    score
  9. 9
    00:30
    time
    100
    score
  10. 10
    Emilie
    Emilie
    00:32
    time
    100
    score
Do you want to stay in the Top 10 of this game? to identify yourself.
Make your own free game from our game creator
Compete against your friends to see who gets the best score in this game

Top Games

  1. time
    score
  1. time
    score
time
score
time
score
 
game-icon

Alcoholes y oxidaciónOnline version

Contesta las siguientes preguntas para que puedas relacionarlas con la oxidación de los alcoholes

by David Leonardo García Rodríguez Química Col Virtual Siglo XXI
1

El Etanol se puede oxidar a

2

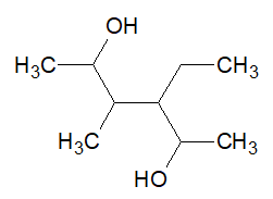
Si la formula química es C4H10O cuantos alcoholes puedo obtener

Escoge una o varias respuestas

3

La propanona o acetona proviene del alcohol

4

La diferencia entre un aldehído y una cetona es

5

La siguiente estructura recibe el nombre de