Icon New game New game

Operaciones con racionales

Quiz

(29)
Operaciones combinadas con números racionales

Download the paper version to play

Recommended age: 15 years old
332 times made

Created by

Ecuador

Top 10 results

  1. 1
    00:06
    time
    100
    score
  2. 2
    00:10
    time
    100
    score
  3. 3
    00:12
    time
    100
    score
  4. 4
    00:12
    time
    100
    score
  5. 5
    00:13
    time
    100
    score
  6. 6
    00:14
    time
    100
    score
  7. 7
    00:15
    time
    100
    score
  8. 8
    00:17
    time
    100
    score
  9. 9
    00:19
    time
    100
    score
  10. 10
    00:20
    time
    100
    score
Do you want to stay in the Top 10 of this game? to identify yourself.
Make your own free game from our game creator
Compete against your friends to see who gets the best score in this game

Top Games

  1. time
    score
  1. time
    score
time
score
time
score
 
game-icon

Operaciones con racionalesOnline version

Operaciones combinadas con números racionales

by Hugo Martin Artau
1

Encuentre el mínimo común múltiplo del siguientes conjunto de números.

2

Encuentre el mínimo común múltiplo del siguientes conjunto de números.

3

Encuentre el mínimo común múltiplo del siguientes conjunto de números.

4

Encuentre el mínimo común múltiplo del siguientes conjunto de números.

5

Encuentre el mínimo común múltiplo del siguientes conjunto de números.

6

Encuentre el mínimo común múltiplo del siguientes conjunto de números.

7

Encuentre el mínimo común múltiplo del siguientes conjunto de números.

8

Encuentre el mínimo común múltiplo del siguientes conjunto de números.

9

Encuentre el mínimo común múltiplo del siguientes conjunto de números.

10

Encuentre el mínimo común múltiplo del siguientes conjunto de números.

11

Encuentre el mínimo común múltiplo del siguientes conjunto de números.

12

Encuentre el mínimo común múltiplo del siguientes conjunto de números.

13

Encuentre el mínimo común múltiplo del siguientes conjunto de números.

14

Encuentre el mínimo común múltiplo del siguientes conjunto de números.

15

Encuentre el mínimo común múltiplo del siguientes conjunto de números.

16

Encuentre el mínimo común múltiplo del siguientes conjunto de números.

17

Encuentre el mínimo común múltiplo del siguientes conjunto de números.

18

Efectúe la siguiente operación y exprese el resultado en forma reducida.

19

Efectúe la siguiente operación y exprese el resultado en forma reducida.

20

Efectúe la siguiente operación y exprese el resultado en forma reducida.

21

Efectúe la siguiente operación y exprese el resultado en forma reducida.

22

Efectúe la siguiente operación y exprese el resultado en forma reducida.

23

Efectúe la siguiente operación y exprese el resultado en forma reducida.

24

Efectúe la siguiente operación y exprese el resultado en forma reducida.

25

Efectúe la siguiente operación y exprese el resultado en forma reducida.

26

Efectúe la siguiente operación y exprese el resultado en forma reducida.

27

Efectúe la siguiente operación con fracciones y simplifique

28

Efectúe la siguiente operación con fracciones y simplifique

29

Efectúe la siguiente operación con fracciones y simplifique

30

Efectúe la siguiente operación con fracciones y simplifique

31

Efectúe la siguiente operación con fracciones y simplifique

32

Efectúe la siguiente operación con fracciones y simplifique

33

Efectúe la siguiente operación con fracciones y simplifique

34

Efectúe la siguiente operación con fracciones y simplifique

35

Efectúe la siguiente operación con fracciones y simplifique

36

Efectúe la siguiente operación con fracciones y simplifique

37

Efectúe la siguiente operación con fracciones y simplifique

38

Efectúe la siguiente operación con fracciones y simplifique

39

Efectúe la siguiente operación con fracciones y simplifique

40

Efectúe la siguiente operación con fracciones y simplifique

41

Efectúe la siguiente operación con fracciones y simplifique

42

Efectúe la siguiente operación con fracciones y simplifique

43

Efectúe la siguiente operación con fracciones y simplifique

44

Efectúe la siguiente operación con fracciones y simplifique

45

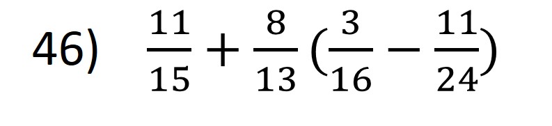
Efectúe la siguiente operación con fracciones y simplifique

46

Efectúe la siguiente operación y simplifique

47

Efectúe la siguiente operación y exprese el resultado en forma reducida.

48

Efectúe la siguiente operación y exprese el resultado en forma reducida.

49

Efectúe la siguiente operación y exprese el resultado en forma reducida.

50

Efectúe la siguiente operación y exprese el resultado en forma reducida.

51

Efectúe la siguiente operación y exprese el resultado en forma reducida.

52

Efectúe la siguiente operación y exprese el resultado en forma reducida.

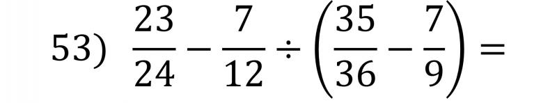
53

Efectúe la siguiente operación y exprese el resultado en forma reducida.

54

Efectúe la siguiente operación y exprese el resultado en forma reducida.

55

Efectúe la siguiente operación y exprese el resultado en forma reducida.

56

Convierta el número mixto en fracción común

57

Convierta el número mixto en fracción común

58

Convierta el número mixto en fracción común

59

Convierta el número mixto en fracción común

60

Convierta el número mixto en fracción común

61

Convierta el número mixto en fracción común

62

Convierta el número mixto en fracción común

63

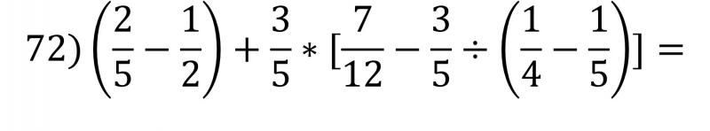
Efectúe la siguiente operación y simplifique.

64

Efectúe la siguiente operación y simplifique.

65

Efectúe la siguiente operación y simplifique.

66

Efectúe la siguiente operación y simplifique.

Explicación

https://www.youtube.com/watch?v=kxDeTxbnk-c

https://www.youtube.com/watch?v=kxDeTxbnk-c

https://www.youtube.com/watch?v=kxDeTxbnk-c

https://www.youtube.com/watch?v=kxDeTxbnk-c

https://www.youtube.com/watch?v=kxDeTxbnk-c

https://www.youtube.com/watch?v=kxDeTxbnk-c

https://www.youtube.com/watch?v=kxDeTxbnk-c

https://www.youtube.com/watch?v=kxDeTxbnk-c

https://www.youtube.com/watch?v=kxDeTxbnk-c

https://www.youtube.com/watch?v=kxDeTxbnk-c

https://www.youtube.com/watch?v=kxDeTxbnk-c

https://www.youtube.com/watch?v=kxDeTxbnk-c

https://www.youtube.com/watch?v=kxDeTxbnk-c

https://www.youtube.com/watch?v=kxDeTxbnk-c

https://www.youtube.com/watch?v=kxDeTxbnk-c

https://www.youtube.com/watch?v=kxDeTxbnk-c

https://www.youtube.com/watch?v=kxDeTxbnk-c

https://www.youtube.com/watch?v=FctEO0Bkr80

https://www.youtube.com/watch?v=FctEO0Bkr80

https://www.youtube.com/watch?v=FctEO0Bkr80

https://www.youtube.com/watch?v=FctEO0Bkr80

https://www.youtube.com/watch?v=FctEO0Bkr80

https://www.youtube.com/watch?v=FctEO0Bkr80

https://www.youtube.com/watch?v=FctEO0Bkr80

https://www.youtube.com/watch?v=FctEO0Bkr80

https://www.youtube.com/watch?v=FctEO0Bkr80

https://www.youtube.com/watch?v=FctEO0Bkr80

https://www.youtube.com/watch?v=FctEO0Bkr80

https://www.youtube.com/watch?v=FctEO0Bkr80

https://www.youtube.com/watch?v=FctEO0Bkr80

https://www.youtube.com/watch?v=FctEO0Bkr80

https://www.youtube.com/watch?v=FctEO0Bkr80

https://www.youtube.com/watch?v=FctEO0Bkr80

https://www.youtube.com/watch?v=FctEO0Bkr80

https://www.youtube.com/watch?v=FctEO0Bkr80

https://www.youtube.com/watch?v=FctEO0Bkr80

https://www.youtube.com/watch?v=T-GdtML9IhY

https://www.youtube.com/watch?v=T-GdtML9IhY

https://www.youtube.com/watch?v=T-GdtML9IhY

https://www.youtube.com/watch?v=T-GdtML9IhY

https://www.youtube.com/watch?v=T-GdtML9IhY

https://www.youtube.com/watch?v=T-GdtML9IhY

https://www.youtube.com/watch?v=T-GdtML9IhY

https://www.youtube.com/watch?v=T-GdtML9IhY

https://www.youtube.com/watch?v=T-GdtML9IhY

https://www.youtube.com/watch?v=T-GdtML9IhY

https://www.youtube.com/watch?v=y25BgQBouj8

https://www.youtube.com/watch?v=y25BgQBouj8

https://www.youtube.com/watch?v=y25BgQBouj8

https://www.youtube.com/watch?v=y25BgQBouj8

https://www.youtube.com/watch?v=y25BgQBouj8

https://www.youtube.com/watch?v=y25BgQBouj8

https://www.youtube.com/watch?v=y25BgQBouj8

educaplay suscripción