Icon New game New game

Parcial 2 Matemática Inter1

Quiz

(1)
Parcial relacionado al curso de Matemática Intermedia 1, Carreras de Ingeniería, Cunor.

Download the paper version to play

7 times made

Created by

Guatemala

Top 10 results

  1. 1
    01:22
    time
    20
    score
Do you want to stay in the Top 10 of this game? to identify yourself.
Make your own free game from our game creator
Compete against your friends to see who gets the best score in this game

Top Games

  1. time
    score
  1. time
    score
time
score
time
score
 
game-icon

Parcial 2 Matemática Inter1Online version

Parcial relacionado al curso de Matemática Intermedia 1, Carreras de Ingeniería, Cunor.

by Luis Pop
1

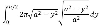
Resuelva la siguiente integral impropia

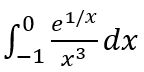
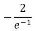
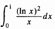
2

Resuelva la siguiente integral impropia

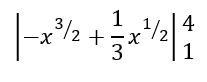
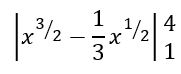
3

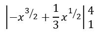
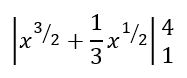
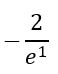
Determine la longitud de arco de la curva "y" mostrada en la figura desde el punto x=1 hasta el punto x=4, escoja el enunciado correcto despues de haber planteado la integral y resolverla

4

Una placa vertical está parcialmente sumergida en agua. Encuentre la fuerza hidróstatica contra un extremo de la placa. Plantee la integral y evalúela.

Respuesta escrita

5

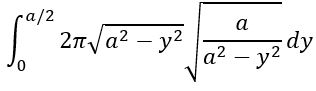
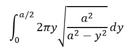
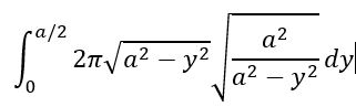
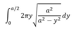
La curva dada se hace girar en torno al eje y. Plantee la integral correcta para el área de la superficie

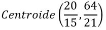
6

Determine el centroide de la región limitada por las fronteras indicadas: