New game
Get Academic Plan

opstellen vergelijking paraboo

Quiz

(6)
Hier frissen we enkele dingen op die terug zullen komen in het verdere lesverloop.

Download the paper version to play

Recommended age: 15 years old
20 times made

Created by

Belgium

Top 10 results

  1. 1
    02:18
    time
    100
    score
  2. 2
    00:43
    time
    80
    score
  3. 3
    00:17
    time
    60
    score
  4. 4
    01:21
    time
    60
    score
  5. 5
    00:34
    time
    40
    score
  6. 6
    01:05
    time
    40
    score
  7. 7
    02:15
    time
    40
    score
  8. 8
    03:05
    time
    40
    score
Do you want to stay in the Top 10 of this game? to identify yourself.
Make your own free game from our game creator
Compete against your friends to see who gets the best score in this game

Top Games

  1. time
    score
  1. time
    score
time
score
time
score
 
game-icon

opstellen vergelijking parabooOnline version

Hier frissen we enkele dingen op die terug zullen komen in het verdere lesverloop.

by Sander Van den Abeele
1

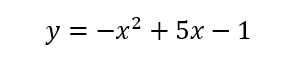
Wat is de symmetrieas van deze parabool?

Kies één of meerdere antwoorden

2

Wat is de symmetrieas van deze parabool?

Kies één of meerdere antwoorden

3

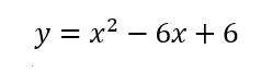
Wat is de top van deze vergelijking?

Kies één of meerdere antwoorden

4

Is dit een berg- of dalparabool?

Kies één of meerdere antwoorden

5

Is dit een berg- of dalparabool?

Kies één of meerdere antwoorden

Uitleg

Je kan de symmetrieas op 2 manieren vinden: je kan deze rechtstreeks afleiden uit de grafiek, maar je kan hem ook uit het voorschrift halen. De symmetrieas is hier gelijk aan - alpha

Je kan de symmetrieas op 2 manieren vinden: je kan deze rechtstreeks afleiden uit de grafiek, maar je kan hem ook uit het voorschrift halen. De symmetrieas is hier gelijk aan b/-2a.

De x-coördinaat vind je met b/-2a en de y-coördinaat met D/4a.

Je kijkt steeds naar het teken van a. Is dit + is het een dalparabool, is het - is het een bergparabool.