Icon New game New game

Caso a Caso

Quiz

(25)
Practicamos los 6 casos de factoreo: resolvemos en una hoja y señalamos el resultado.

Download the paper version to play

Recommended age: 15 years old
672 times made

Created by

Argentina

Top 10 results

  1. 1
    00:09
    time
    100
    score
  2. 2
    00:13
    time
    100
    score
  3. 3
    00:18
    time
    100
    score
  4. 4
    00:26
    time
    100
    score
  5. 5
    dayanna123
    dayanna123
    00:58
    time
    100
    score
  6. 6
    01:14
    time
    100
    score
  7. 7
    coronem
    coronem
    01:24
    time
    100
    score
  8. 8
    01:40
    time
    100
    score
  9. 9
    02:17
    time
    100
    score
  10. 10
    02:19
    time
    100
    score
Do you want to stay in the Top 10 of this game? to identify yourself.
Make your own free game from our game creator
Compete against your friends to see who gets the best score in this game

Top Games

  1. time
    score
  1. time
    score
time
score
time
score
 
game-icon

Caso a CasoOnline version

Practicamos los 6 casos de factoreo: resolvemos en una hoja y señalamos el resultado.

by Melina Ayola
1

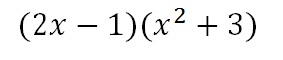
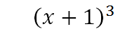
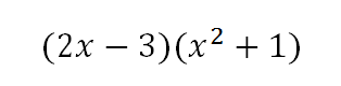
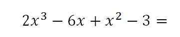
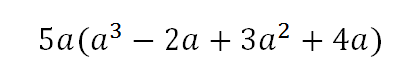
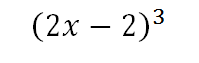
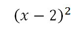
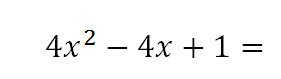
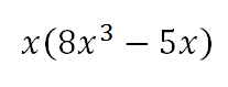
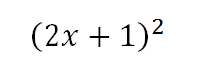
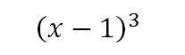
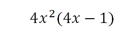
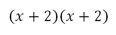
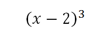
Selecciona el resultado correcto

2

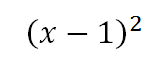
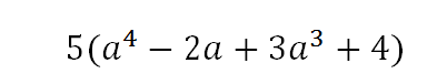
Selecciona el resultado correcto

3

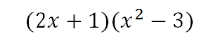
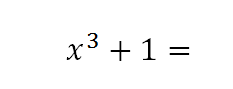
Selecciona el resultado correcto

4

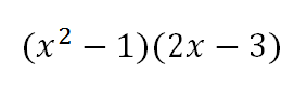
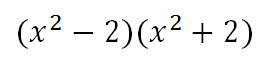
Selecciona el resultado correcto

5

Selecciona el resultado correcto

6

Selecciona el resultado correcto

7

Selecciona el resultado correcto

Explicación

1° caso

2° Caso

3° Caso

4° Caso

5° Caso

6° Caso

1° caso