Icon New game New game

Expresiones Algebraicas

Quiz

(4)
Elementos. operaciones de sumas, restas y multiplicación de monomio por monomio

Download the paper version to play

Recommended age: 14 years old
44 times made

Created by

Honduras

Top 10 results

  1. 1
    01:45
    time
    88
    score
  2. 2
    02:49
    time
    88
    score
  3. 3
    02:09
    time
    77
    score
  4. 4
    01:02
    time
    33
    score
Do you want to stay in the Top 10 of this game? to identify yourself.
Make your own free game from our game creator
Compete against your friends to see who gets the best score in this game

Top Games

  1. time
    score
  1. time
    score
time
score
time
score
 
game-icon

Expresiones AlgebraicasOnline version

Elementos. operaciones de sumas, restas y multiplicación de monomio por monomio

by Julissa Rodriguez
1

Es el número que aparece en la parte superior de la variable:

2

La expresión por el número de términos se llama:

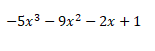
3

La expresión por el número del grado se llama:

4

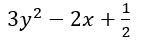
Es el número que acompaña la variable como factor o producto

5

Es el término independiente de la expresión:

6

Es el número de términos de la expresión:

7

Es el resultado de resolver la suma:

8

Es el resultado de la resta:

9

El resultado de la multiplicación: