Icon New game New game

GASES-BOYLE-CHARLES

Quiz

(1)
En el siguiente test, encontraras preguntas relacionadas con Gases, ley de Boyle y Ley de Charles

Download the paper version to play

Recommended age: 14 years old
60 times made

Created by

Colombia

Top 10 results

  1. 1
    00:47
    time
    100
    score
  2. 2
    Kendry De La Cruz
    Kendry De La Cruz
    00:52
    time
    100
    score
  3. 3
    maria fernanda del prado
    maria fernanda del prado
    01:00
    time
    100
    score
  4. 4
    Jimena Hernández 11-2
    Jimena Hernández 11-2
    01:03
    time
    100
    score
  5. 5
    Madeleinn Palma
    Madeleinn Palma
    01:21
    time
    100
    score
  6. 6
    Laura García
    Laura García
    01:23
    time
    100
    score
  7. 7
    01:30
    time
    100
    score
  8. 8
    Heily Vanessa Diaz Arroyo
    Heily Vanessa Diaz Arroyo
    01:38
    time
    100
    score
  9. 9
    Anaelka martinez henriquez
    Anaelka martinez henriquez
    01:40
    time
    100
    score
  10. 10
    Michelle Martínez
    Michelle Martínez
    01:41
    time
    100
    score
Do you want to stay in the Top 10 of this game? to identify yourself.
Make your own free game from our game creator
Compete against your friends to see who gets the best score in this game

Top Games

  1. time
    score
  1. time
    score
time
score
time
score
 
game-icon

GASES-BOYLE-CHARLESOnline version

En el siguiente test, encontraras preguntas relacionadas con Gases, ley de Boyle y Ley de Charles

by Aura valentina Montes agudelo
1

En esta ley la Temperatura se mantiene constante

2

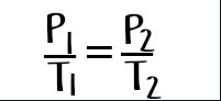
A que ley le pertenece esta formula

3

¿Qué científico descubrió que el volumen del gas a presión constante es directamente proporcional a su temperatura absoluta?

4

Un gas es :

5

Si la presión de un gas se duplica que ocurre a su volumen, cuando la presión es constante

6

En la ley de Charles, cuando la temperatura aumenta el volumen...

7

¿En qué unidad debemos expresar la temperatura cuando aplicamos las leyes de los gases?

8

¿ Por qué los gases se difunden fácilmente?

9

A mayor temperatura un gas

10

La formula de la ley de charles es:

Explicación

Lee bien el enunciado

Observa bien la imagen

¿ quien es el señor de la imagen?

Lee bien las respuestas

Observa bien la imagen

Lee bien el enunciado y observa bien la imagen

Lee bien el enunciado

Observa bien la imagen

Observa bien la imagen