Icon New game New game

1ER PARCIAL - CALCULO DIF 3A

Quiz

(43)
Resuelve los siguientes problemas.

Download the paper version to play

364 times made

Created by

Mexico

Top 10 results

  1. 1
    00:50
    time
    100
    score
  2. 2
    01:12
    time
    100
    score
  3. 3
    01:19
    time
    100
    score
  4. 4
    01:28
    time
    100
    score
  5. 5
    Erik Valles Glz
    Erik Valles Glz
    01:33
    time
    100
    score
  6. 6
    Gerardo Pérez
    Gerardo Pérez
    01:37
    time
    100
    score
  7. 7
    01:52
    time
    100
    score
  8. 8
    Sebastian Quiroga
    Sebastian Quiroga
    02:04
    time
    100
    score
  9. 9
    02:08
    time
    100
    score
  10. 10
    02:15
    time
    100
    score
Do you want to stay in the Top 10 of this game? to identify yourself.
Make your own free game from our game creator
Compete against your friends to see who gets the best score in this game

Top Games

  1. time
    score
  1. time
    score
time
score
time
score
 
game-icon

1ER PARCIAL - CALCULO DIF 3AOnline version

Resuelve los siguientes problemas.

by Claudio Rubén Pereyra Camacho
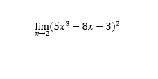
1

Calcula el límite de la siguiente función

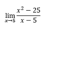
2

Halla el límite de la siguiente función

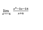
3

Evalúa el siguiente límite:

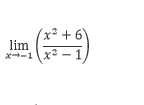
4

Determina:

5

Determina el siguiente límite:

6

Calcula el límite de la siguiente función:

7

Calcula el siguiente limite, si existe.

8

Encuentre el límite indicado o establezca que no existe

9

Evalúa el siguiente límite: