Icon New game New game

Evaluación Reglas Derivación

Quiz

(1)
Se evalúa las competencias adquiridas en el tema sobre reglas de derivación de funciones algebraicas

Download the paper version to play

6 times made

Created by

Colombia

Top 10 results

  1. 1
    05:07
    time
    83
    score
  2. 2
    00:09
    time
    0
    score
  3. 3
    01:52
    time
    0
    score
Do you want to stay in the Top 10 of this game? to identify yourself.
Make your own free game from our game creator
Compete against your friends to see who gets the best score in this game

Top Games

  1. time
    score
  1. time
    score
time
score
time
score
 
game-icon

Evaluación Reglas Derivación Online version

Se evalúa las competencias adquiridas en el tema sobre reglas de derivación de funciones algebraicas

by jhonny Sufia
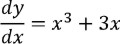
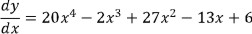
1

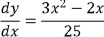
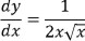
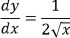
Derive la siguiente función con reglas de derivación

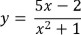
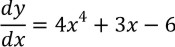
2

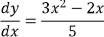
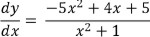
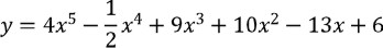
Derive la siguiente función con Reglas de Derivación

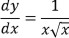
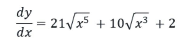
3

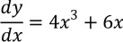
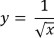
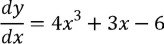
Derive la siguiente función con Reglas de Derivación

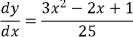
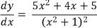
4

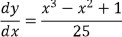
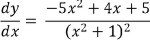
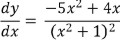
Derive la siguiente función con Reglas de Derivación

5

Derive la siguiente función con Reglas de Derivación

6

Derive la siguiente función con Reglas de Derivación