Icon New game New game

ESTADÍSTICA

Quiz

ACTIVIDAD SOBRE LOS PARÁMETROS DE CENTRALIZACIÓN Y DISPERSIÓN

Download the paper version to play

Recommended age: 14 years old
4 times made

Created by

Spain

Top 10 results

  1. 1
    00:06
    time
    0
    score
Do you want to stay in the Top 10 of this game? to identify yourself.
Make your own free game from our game creator
Compete against your friends to see who gets the best score in this game

Top Games

  1. time
    score
  1. time
    score
time
score
time
score
 
game-icon

ESTADÍSTICAOnline version

ACTIVIDAD SOBRE LOS PARÁMETROS DE CENTRALIZACIÓN Y DISPERSIÓN

by Gema Rodríguez
1

La MEDIANA es el valor que más se repite

2

Calcula la MODA de los siguientes números:

3

¿Cuál es la MEDIANA de este conjunto? 1, 2, 3, 4, 5, 6, 7

4

¿Cuál es la MEDIA de mis exámenes? Notas de los exámenes realizados: 7' 75, 4'3, 10, 6,5

5

El RECORRIDO/RANGO es la diferencia entre el dato mayor y el menor

6

Los PÁRAMETROS DE DISPERSIÓN representan de forma global a toda la población o la muestra

7

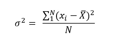
¿Qué representa esta fórmula?

Explicación

fcygvuhbi